CONTENTS
 
9.   Formulas

To convert from polar coordinates to Windows screen coordinates (in which y increases from top to bottom, unlike conventional graphs):

  Note: theta is in rotations;
x and y must be scaled and translated before using them for screen display

To plot the spiral, including both the thin gray coiled line and the integers on it: :

  Note: theta is in rotations

To plot offset curves:

  Note: theta is in rotations

To derive coefficients a, b, c of a quadratic formula from three successive integers i, j, k in a quadratic sequence:

  For more information about these formulas including their derivation, see Method of Common Differences.

To convert between a composite offset curve of angle n/d (measured in rotations) and its related quadratic function ax2 + bx:

   

To factor an integer on a composite offset curve:

   

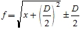
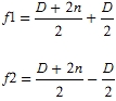
To find factors on a product curve, where D is the difference between factors and n is an integer that varies from zero to infinity:

  Each integer on the product curve is equal to f1 f2.

Here is another function for the same purpose, except this one calculates the factors as a function of any real number x on the spiral:

   
 

1  2  3  4  5  6  7  8  9  10  Next
Copyright © 2003, 2007 Robert Sacks